Nonperturbative stochastic inflation in perturbative dynamical background

Avatar
Poster
Voice is AI-generated
Connected to paperThis paper is a preprint and has not been certified by peer review

Nonperturbative stochastic inflation in perturbative dynamical background

Authors

Xiao-Quan Ye, Shao-Jiang Wang

Abstract

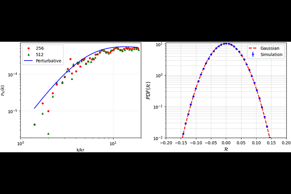
Inflationary models that contain a transient ultra-slow-roll phase can exhibit strong non-perturbative dynamics, making the usual perturbative treatment of cosmological fluctuations incomplete. In such regimes, quantum diffusion and the nonlinear gravitational response of the background can both play important roles, motivating a framework that treats them systematically within quantum field theory in curved spacetime. In this work, we derive the first-order stochastic equations in quasi-de Sitter spacetime from the Schwinger-Keldysh formalism and develop a practical procedure to obtain compact stochastic equations that consistently incorporate metric perturbations via the classical Arnowitt-Deser-Misner equations. Our approach systematically captures classical non-perturbative effects while retaining the leading first-order quantum diffusion. We apply the formalism to two inflationary scenarios with an ultra-slow-roll phase, namely the Starobinsky piecewise-linear model and critical Higgs inflation. For the Starobinsky model, numerical lattice simulations validate the stochastic description and agree well with analytical results. For critical Higgs inflation, we find that the dynamics lead to a minor suppression of the power spectrum with an additional oscillation feature. Throughout, our analysis is restricted to the regime of small metric perturbations, ensuring the self-consistency of the perturbative stochastic treatment. These results establish a concrete bridge between first-principles quantum field theory in curved spacetime and the stochastic-$δN$ formalism for investigating non-perturbative inflationary dynamics.

Follow Us on

0 comments

Add comment