Are you represented? Subjective vs objective skin color determination for healthcare and research purposes.

Avatar
Poster
Voice is AI-generated
Connected to paperThis paper is a preprint and has not been certified by peer review

Are you represented? Subjective vs objective skin color determination for healthcare and research purposes.

Authors

Setchfield, K. J.; Kuppur Narayana Swamy, S. K.; Setchfield, E. J.; Morgan, S. P.; Somekh, M. G.; Wright, A. J.

Abstract

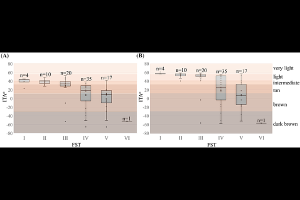
Despite questionable accuracy, subjective methods to categorize skin color are heavily relied upon in research and medicine. Objective skin color determination is expensive requiring specialized instrumentation and interpretation. We compare three subjective approaches, i) Fitzpatrick Skin Type Scale (FST), ii) Pantone SkinTone Guide (PST) and, iii) Monk Skin Tone Scale (MST), with objectively measured skin color from a spectrophotometer in 87 volunteers to understand the limitations of each method. In agreement with others, we show that the popular FST questionnaire correlates poorly with the objective approach. However, PST color swatches provide good correlation with spectrophotometer measurements. PST consists of 110+ swatches that are inexpensive and easy to use, however, similar to other reports, the volunteers found the number of swatches overwhelming and/or excessive. We found that the recently introduced MST is not representative of reality with only 3 of the 10 color groups representing our volunteers and published populations of volunteers. In future, we propose using 9 color swatches to split the spectrum of human skin color into 10 groupings (Nottingham Skin Categories - NSC) that are representative of the global population. This new approach would be easy to implement and inexpensive in research, healthcare and cosmetics settings, and maps directly to objective, quantitative, measures taken with a spectrophotometer. For the testing and development of new optical devices, NSC would provide increased comparability between studies and ensure studies are representative of local/global populations. In the clinic NSC would be useful for dermatology, photodynamic therapy and dosage assessment for topical medicine, for example.

Follow Us on

0 comments

Add comment