N-body interactions and collisions in circumstellar disks for planar and inclined binary star configurations

Avatar
Poster
Voice is AI-generated
Connected to paperThis paper is a preprint and has not been certified by peer review

N-body interactions and collisions in circumstellar disks for planar and inclined binary star configurations

Authors

Maximilian Zimmermann, Elke Pilat-Lohinger

Abstract

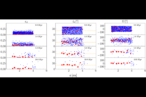
The discovery of exoplanets in binary star systems-now numbering about 850 of the nearly 4,600 known exoplanet systems-raises questions about whether observational bias or stellar companions inhibit planet formation. While most studies on terrestrial planet formation assume planar configurations, wide binaries likely feature random inclinations, potentially disrupting planet-forming disks. This study explores the evolution of embryo-planetesimal disks in S-type motion in misaligned binary systems, focusing on the stage after the gas phase when terrestrial planet formation begins and gravitational interactions dominate. Using our GPU-accelerated N-body code GANBISS, we simulate disks with 2,000 planetesimals and 25 planetary embryos, studying the influence of the planetesimals on the evolution of the embryos and tracking their growth through collisions. After the simulations, we analyse collision outcomes with an analytical model. Moreover, for certain inclined binary configurations, we compare dynamically excited (perturbed by the secondary star) with cold disks in inclined configurations, as the distribution after the gas phase in misaligned binaries remains unclear. Our simulations reveal two key outcomes: (i) embryos migrate slightly inward in misaligned systems, and (ii) The initial large oscillations in embryos' inclinations and nodes around the respective values of the secondary star dampen over time. Collision analysis shows distinct differences: planar systems favour accretive collisions, while inclined configurations exhibit more destructive events. These findings underscore the sensitivity of planet formation dynamics to binary star alignment and initial disk conditions.

Follow Us on

0 comments

Add comment