Stellar nucleosynthesis in the era of large surveys: s-process polluted binaries in GALAH DR4

Avatar
Poster
Voice is AI-generated
Connected to paperThis paper is a preprint and has not been certified by peer review

Stellar nucleosynthesis in the era of large surveys: s-process polluted binaries in GALAH DR4

Authors

A. Escorza, S. Vitali, D. Godoy-Rivera, S. Shetye, H. Van Winckel, G. Bustos, S. Goriely, L. Siess, M. Abdul-Masih, T. Masseron, D. A. García-Hernández, A. Ardern-Arentsen, P. Jofré, S. Van Eck

Abstract

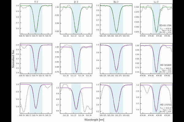
Binary interactions during the AGB phase can lead to the formation of chemically peculiar stars with overabundances of s-process elements. Only a few hundreds of these stars have been subject to detailed chemical or dynamical studies. This work aims at compiling a systematic sample of s-process-polluted candidates using GALAH DR4. We also want to compare their properties with those of confirmed s-polluted stars to have stronger evidence of their nature. GALAH DR4 uses neural networks and automatic spectral analysis methods as well as data of a lower spectral resolution than normally used to characterise these objects. Because of this, we built a validation sample, for which we obtained UVES@VLT and HERMES@Mercator high-resolution spectra. We compare our stellar parameters and abundances with those of the survey and use this validation to define the thresholds that a star in GALAH DR4 must pass to be flagged as a good s-process-rich candidate. Based on our comparisons, we define thresholds on [s/Fe], [Y/Fe], [Zr/Fe], [Ba/Fe], and [La/Fe]. We identified 1073 stars in GALAH DR4 that are good candidates to be s-process polluted stars, covering a broad parameter space. They share many similarities with the samples of confirmed s-rich stars, especially their ratios of heavy over light s-elements ([hs/ls]), which strengthen our confidence in the purity of the sample. We find that only 7% of the candidates have measured orbital periods and eccentricities, limiting for now a full comparison with confirmed Ba and related stars. However, their binary fraction is, as expected, higher than the one we found for the full GALAH DR4 catalogue. Our sample of candidates is almost five times larger than the number of currently confirmed polluted stars. This and the fact that it has been homogeneously treated by GALAH open very interesting avenues to confront nucleosynthesis and binary evolution models.

Follow Us on

0 comments

Add comment