Microscopic primordial black holes as macroscopic dark matter from large extra dimensions

Avatar
Poster
Voice is AI-generated
Connected to paperThis paper is a preprint and has not been certified by peer review

Microscopic primordial black holes as macroscopic dark matter from large extra dimensions

Authors

Giuseppe Filiberto Vitale, Gaetano Lambiase, Tanmay Kumar Poddar, Luca Visinelli

Abstract

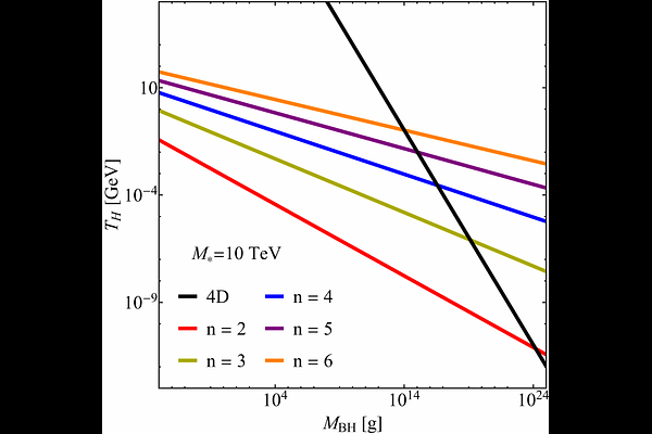
We study the coupled cosmological evolution of primordial black holes (PBHs) and radiation in the Arkani-Hamed-Dimopoulos-Dvali (ADD) framework with $n$ large extra dimensions and a fundamental gravity scale $M_\star$ at the TeV scale. For PBHs with horizon radius smaller than the compactification scale, the higher-dimensional geometry implies a larger horizon size at fixed mass and therefore a suppressed Hawking temperature. As a result, radiation accretion can overcome evaporation in the early Universe and drive a ``runaway'' phase of rapid mass growth. By numerically solving the coupled mass and energy-density evolution equations, we show that for $n \geq 2$ initially microscopic PBHs with initial mass $M_i \gtrsim 10^{12}\,$g can grow by many orders of magnitude and potentially reach macroscopic, even solar-mass, scales by matter-radiation equality. We determine the critical initial abundance $β_{\rm crit}$ required for PBHs to account for the observed dark matter density and find that extra dimensions dramatically lower this threshold, allowing viable scenarios with $β_{\rm crit}\sim 10^{-44}$. This identifies a previously unexplored region of parameter space in which the dark matter abundance is achieved through dynamical mass growth rather than large initial collapse fractions.

Follow Us on

0 comments

Add comment